crane和vpa的资源推荐算法
vpa介绍
vpa全称Vertical Pod Autoscaler ,它是google论文Autopilot: Workload Autoscaling at Google Scale的开源实现。它根据pod里的container的历史监控数据来推荐container的request资源,即vpa扩容是直接修改pod里的resource的request、limit(可以在vpa资源里配置只修改request或limit和request都修改)。
功能益处:
- 可以提高节点的资源利用率
- 适合长时间运行的同质化的应用
限制:
- 目前版本的kubernetes不支持原地升级(原地升级预计1.27版本支持),需要重启应用来应用来使用资源推荐值
- 由于目前需要重启才能应用资源推荐值,不太适合有状态的服务(因为一般有状态的服务有先后启动顺序)
- 不适合任务型应用(大部分时间资源使用很低,短暂时间很高)或job类型应用(短时间运行,由于缺少监控数据导致推荐值过大相关issue)
- 不适合与hpa一起使用,可以让hpa使用custom metric或external metric,还可以借鉴Google cloud的解决方案multidimensional Pod autoscaling(memory使用vpa,cpu使用hpa)
crane介绍
Crane( Cloud Resource Analytics and Economics ) 是腾讯开源的基于 Kubernetes 的降本增效项目。Crane 遵循 FinOps 标准,旨在为云原生用户提供云成本优化一站式解决方案。具备了资源推荐,弹性推荐,智能弹性和稳定性增强等核心能力。
crane功能众多,本文只研究crane的资源推荐功能
功能优点:
- 一个推荐资源cr就能控制部分或全部命名空间的所有workload类型的资源推荐
- 相对于vpa的推荐值会比较保守(比较大),意味着更保障应用性能
- 监控数据源支持metrics-server和Prometheus
限制:
- 没有自动应用推荐值的功能,需要自己定义如何变更应用这些推荐值,意味着需要自己开发应用推荐值功能
- 没有推荐质量的监控指标
算法原理
crane和vpa都是基于历史监控数据的百分位值来计算推荐值,再对百分位的推荐值进行放大后得到最终推荐值。它们都利用histogram来计算百分位,所以先来看百分位计算方法。
1 利用histogram计算百分位算法
1.1 crane使用的histogram计算百分位算法
以24小时cpu监控数据,一分钟一个数据点,数值在0-100,计算95分位的数值为例子。

- 每个桶大小为0.1,桶的下标从0开始,下标为0的桶-能容纳范围
[0,0.1),最小边界值为0。下标为1桶的容纳范围为[0.1,0.2),最小边界值为0.1。 - 将每个数据点,按照数值大小丢到对应的桶中,比如某一时刻的监控数据值为1.02,则它会丢到编号为10的桶里。
- 当某个桶里增加了一数据点,则这个桶的重量增加这个数据点的值,所有桶的重量增加这个数据点的值。
- 计算出
W(95)=95%*所有桶的总重量 - 从最小的桶到最大桶开始累加桶的重量,这个重量记为S,当S>=W(95)时候,这个时候桶的下标为N,那么下标为N+1桶的最小边界值就是95百分位值
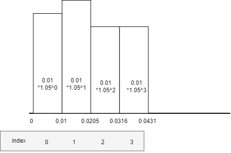
1.2 vpa使用的histogram计算百分位算法
以24小时cpu监控数据,一分钟一个数据点,数值在0-1000.0,计算95分位的数值为例子。

- 桶的下标为N,桶的大小是指数增加的
bucketSize=0.01*(1.05^N),下标为0的桶的大小为0.01,容纳范围为[0,0.01),下标为1的桶的大小为0.01*1.05^1=0.0105,容纳范围[0.01-0.0205) - 将每个数据点,按照数值大小丢到对应的桶中,比如某一时刻的监控数据值为0.032,则它会丢到编号为3的桶里
- 当某个桶里增加了一数据点,则这个桶的重量增加
固定重量*衰减系数(固定重量值和衰减系数算法后面有讲解),所有桶的重量增加固定重量*衰减系数。 - 计算出
W(95)=95%*所有桶的总重量 - 从最小的桶到最大桶开始累加桶的重量,这个重量记为S,当S>=W(95)时候,这个时候桶的下标为N,那么下标为N+1桶的最小边界值就是95百分位值
1.2.1 衰减系数和固定重量
半衰期halfLife:经过时间halfLife后,权重值降低到一半。默认的halfLife为24小时,比如现在的数据点的权重为1,那么24小时之前的监控数据点的权重为0.5,48小时前的数据点的权重为0.25,48小时后的数据权重为4。
数据点的时间timestamp:监控数据的时间戳
参考时间referenceTimestamp:监控数据上的某个时间(一般是监控时间最近的零点00:00)
核心理念:在参考时间点之前的数据点,离的越远权重越低。在参考时间点之后的数据点权重越高。
cpu资源的固定重量:0.1
memory资源的固定重量:1
衰减系数decayFactor:2^((timestamp-referenceTimestamp)/halfLife)
2 vpa推荐值计算过程:
2.1 vpa有4个推荐值:
| 名称 | 解释 |
|---|---|
| target | vpa最终的推荐值 |
| lowerBound | container合理的资源使用的最小值,container的资源的request小于这个值,则vpa认为需要pod(重建recreate)应用target推荐值 |
| upperBound | container合理的资源使用的最大值,container的资源的request大于这个值,则vpa认为需要pod(重建recreate)应用target推荐值 |
| uncappedTarget | 没有受containerPolicies资源约束的原始推荐值 |
vpa内部有4个Estimator推荐器和两个Processor后处理器:
percentileEstimator:利用直方桶百分位值来计算推荐值
marginEstimator:对之前的推荐值进行放大
minResourcesEstimator:应用命令行–pod-recommendation-min-cpu-millicores、–pod-recommendation-min-memory-mb的策略,推荐值不能小于这些值
confidenceMultiplier:对之前lowerBound和upperBound推荐值进行缩小和放大
IntegerCPUPostProcessor:进行cpu推荐值进行向上取整
CappingPostProcessor:应用vpa资源里container对应的最小值和最大值策略
target: percentileEstimator--> marginEstimator --> minResourcesEstimator --> IntegerCPUPostProcessor(默认不开启)--> CappingPostProcessor
lowerBound: percentileEstimator--> marginEstimator --> confidenceMultiplier--> minResourcesEstimator --> IntegerCPUPostProcessor(默认不开启) --> CappingPostProcessor
upperBound: percentileEstimator--> marginEstimator --> confidenceMultiplier--> minResourcesEstimator --> IntegerCPUPostProcessor(默认不开启) --> CappingPostProcessor
uncappedTarget: percentileEstimator--> marginEstimator --> confidenceMultiplier --> minResourcesEstimator --> IntegerCPUPostProcessor(默认不开启)说明:
以target推荐值为例
- 首先进行percentileEstimator推荐得到百分位推荐值。然后将百分位推荐值传给marginEstimator,进行推荐得到marginEstimator推荐值。
- 再将marginEstimator推荐值传给minResourcesEstimator,进行推荐得到minResourcesEstimator推荐值。
- 然后如果开启了整数cpu推荐器,将minResourcesEstimator推荐值传给IntegerCPUPostProcessor进行处理,处理之后的推荐结果传给CappingPostProcessor进行处理,处理完成之后就是最终的推荐结果。
2.2 推荐器:
2.2.1 percentileEstimator推荐算法
其中memory的index为0桶大小为10000000,index为N的桶的大小为10000000*1.05^N,数值范围在0-1e12,总的桶数量为176
如果container发生了oom,会将oom的内存数值进行放大,oom的内存数值=max(oom时候的内存*oomBumpUpRatio, oom时候的内存+oomMinBumpUp),默认oomBumpUpRatio为1.2,oomMinBumpUp为100m。oom时间不在聚合周期且oom的内存数值大于最近的oom值和最近内存使用值、或oom时间在聚合周期内,则向histogram添加这个oom数据点。
cpu的编号为0桶大小为0.01,编号为N的桶的大小为0.01*(1.05^N),数值范围在0-1000,总的桶数量为176
推荐值=使用histogram计算百分位值–这个是最基本的推荐值
2.2.2 marginEstimator推荐算法
推荐值 =原先推荐值 *(1+safetyMarginFraction)
2.2.3 confidenceMultiplier推荐算法
相关参数
| 名称 | 解释 |
|---|---|
| multiplier | 倍数系数 |
| confidence | 信心系数 min(监控数据时间是多少个24小时, 监控数据点数量多少个一天的分钟数) |
| exponent | 指数系数 |
推荐值=原先推荐值*(1 + multiplier/confidence)^exponent
2.2.4 minResourcesEstimator推荐算法
参数
| 名称 | 解释 |
|---|---|
| minResources | 资源推荐的最小推荐值 cpu类型的最小推荐值为podMinCPUMillicores memory的最小推荐值为podMinMemoryMb |
推荐值小于minResources,则推荐值设置为minResources
推荐值=max(minResources, 原先推荐值)
2.3 后处理器
2.3.1 IntegerCPUPostProcessor处理逻辑
只对target、lowerBound、upperBound、uncappedTarget的cpu的推荐值进行处理,对cpu推荐值进行向上取整,比如cpu推荐值为的1100m,则处理之后推荐值为2
2.3.2 CappingPostProcessor处理逻辑
对container的target、lowerBound、upperBound推荐值,应用container的PodResourcePolicy最小推荐值策略、应用最大值推荐值策略
2.4 vpa的推荐相关参数
| 参数 | 解释 | 固定值或默认值 |
|---|---|---|
| safetyMarginFraction | Fraction of usage added as the safety margin to the recommended request 多分配多少比例的推荐值,也就是多请求一些request值 | 默认值:0.15 可以通过命令行进行–recommendation-margin-fraction进行配置 |
| podMinCPUMillicores | Minimum CPU recommendation for a pod 最小cpu推荐值大小 | 默认值:25 可以通过命令行进行–pod-recommendation-min-cpu-millicores进行配置 |
| podMinMemoryMb | Minimum memory recommendation for a pod 最小memory推荐值大小 | 默认值:250 可以通过命令行进行–pod-recommendation-min-memory-mb进行配置 |
| targetCPUPercentile | CPU usage percentile that will be used as a base for CPU target recommendation. Doesn’t affect CPU lower bound, CPU upper bound nor memory recommendations. target推荐值里percentileEstimator对cpu资源使用目标分位数 | 默认值:0.9 默认值:250 可以通过命令行进行–target-cpu-percentile进行配置 |
| lowerBoundCPUPercentile | lowerBound推荐值里percentileEstimator对cpu资源使用目标分位数 | 固定值:0.5 |
| upperBoundCPUPercentile | upperBound推荐值里percentileEstimator对cpu资源使用目标分位数 | 固定值:0.95 |
| targetMemoryPeaksPercentile | target推荐值里percentileEstimator对memory资源使用目标分位数 | 固定值:0.9 |
| lowerBoundMemoryPeaksPercentile | lowerBound推荐值里percentileEstimator对memory资源使用目标分位数 | 固定值:0.5 |
| upperBoundMemoryPeaksPercentile | upperBound推荐值里percentileEstimator对memory资源使用目标分位数 | 固定值:0.95 |
| upperBoundMultiplier | upperBound推荐值里的confidenceMultiplier的multiplier系数 | 固定值:1.0 |
| upperBoundExponent | upperBound推荐值里的confidenceMultiplier的exponent | 固定值:1.0 |
| lowerBoundMultiplier | lowerBound推荐值里的confidenceMultiplier的multiplier系数 | 固定值:0.001 |
| lowerBoundExponent | lowerBound推荐值里的confidenceMultiplier的exponent | 固定值:-2.0 |
3 crane资源推荐
crane有5个推荐步骤:
**percentileEstimator:**利用直方桶百分位值来计算推荐值
marginEstimator:对之前的推荐值进行放大
**targetUtilizationEstimator:**对之前的推荐值进行放大,让之前推荐值占放大后的推荐值targetUtilization百分比
**NormalizedResource:**对之前的推荐值转成最适合的套餐
**MemoryOOMProtection:**内存推荐值进行放大
3.1 crane的推荐处理过程
cpu: percentileEstimator --> marginEstimator --> targetUtilizationEstimator --> NormalizedResource
memory: percentileEstimator --> marginEstimator --> targetUtilizationEstimator --> MemoryOOMProtection --> NormalizedResource说明:
以cpu推荐值为例
- 首先进行percentileEstimator推荐得到百分位推荐值。然后将百分位推荐值传给marginEstimator,进行推荐得到marginEstimator推荐值。
- 再将marginEstimator推荐值传给targetUtilizationEstimator,进行推荐得到targetUtilizationEstimator推荐值。
- 然后如果开启了specification,将targetUtilizationEstimator推荐值传给NormalizedResource,进行查找specification-config里最合适的套餐,返回最终推荐值
3.2 crane资源推荐相关参数
| Configuration items | Default | Description | 中文解释 |
|---|---|---|---|
| cpu-sample-interval | 1m | Metric sampling interval for requesting CPU monitoring data | 请求 CPU 监控数据的 Metric 采样点时间间隔 |
| cpu-request-percentile | 0.99 | Target CPU Percentile that used for VPA | CPU 百分位值 |
| cpu-request-margin-fraction | 0.15 | CPU recommend value margin factor,0.15 means recommended value = recommended value * 1.15 | CPU 推荐值扩大系数,0.15指推荐值乘以 1.15 |
| cpu-target-utilization | 1 | CPU target utilization,0.8 means recommended value = recommended value / 0.8 | CPU 目标利用率,0.8 指推荐值除以 0.8 |
| cpu-model-history-length | 168h | Historical length for CPU monitoring data | CPU 历史监控数据的时间 |
| mem-sample-interval | 1m | Metric sampling interval for requesting Memory monitoring data | 请求 Memory 监控数据的 Metric 采样点时间间隔 |
| mem-request-percentile | 0.99 | Target Memory Percentile that used for VPA | Memory 百分位值 |
| mem-request-margin-fraction | 0.15 | Memory recommend value margin factor,0.15 means recommended value = recommended value * 1.15 | Memory 推荐值扩大系数,0.15指推荐值乘以 1.15 |
| mem-target-utilization | 1 | Memory target utilization,0.8 means recommended value = recommended value / 0.8 | Memory 目标利用率,0.8 指推荐值除以 0.8 |
| mem-model-history-length | 168h | Historical length for Memory monitoring data | memory 历史监控数据的时间 |
| specification | false | Enable for resource rpecification | 是否开启资源规格规整 |
| specification-config | "" | resource specifications configuration | 资源规格,比如1c2g、2c4g |
| oom-protection | true | Enable for OOM Prodection | 是否开启 OOM 保护 |
| oom-history-length | 168h | OOM event history length, ignore too old events | OOM 历史事件的事件,过期事件会被忽略 |
| oom-bump-ratio | 1.2 | OOM memory bump up ratio | OOM 内存放大系数 |
3.3 推荐器:
3.3.1 percentileEstimator推荐算法
其中memory桶大小104857600,数值范围为0-104857600000
cpu桶大小为0.1,数值范围0-100
推荐值=使用histogram计算百分位值–这个是最基本的推荐值
3.3.2 marginEstimator推荐算法
推荐值 =原先推荐值 *(1+marginFraction)
其中memory的marginFraction为mem-request-margin-fraction,cpu的marginFraction为cpu-request-margin-fraction
3.3.3 targetUtilizationEstimator推荐算法
推荐值=原先的推荐值/targetUtilization
其中memory的targetUtilization为mem-target-utilization,cpu的targetUtilization为cpu-target-utilization
3.3.4 NormalizedResource
当启用specification,从specification-config中匹配一个最小满足(大于等于)推荐值的配置套餐
3.3.5 MemoryOOMProtection
如果container有最近7小时内的oom事件,oom时候的内存值为oomMemory,没有oom事件则oomMemory为0
推荐值 =max( max(oomMemory+100M, oomMemory*oom-bump-ratio), 原先的推荐值)
没有提及的
- vpa里histogram的referenceTimestamp相对时间的超过100个半衰期后移动,histogram数据进行scale。
相关链接
Automatically adjust pod resource levels with the vertical pod autoscaler
Guide to Kubernetes Autoscaling–Vertical Pod Autoscaler (VPA)


![[译]Kubernetes CRD生成中的那些坑](/translate/kubernetes-crd-generation-pitfalls/crd-gen-pitfall.webp)